Why is it that there is a T base to complement an A base in DNA, but a U base in RNA?

August 17, 2006

A curious adult from India asks:

"Why is it that there is a T base to complement an A base in DNA, but a U base in RNA?"

This was a lot of fun to answer and something I hadn't thought much about before. The answer has to do with mutations and the letter C.

As you know, DNA is an instruction manual for life. It is written in 4 letters -- A, C, G, and T. These four letters come in pairs -- A is always paired with T, and C is always paired with G. RNA, on the other hand, has a letter U instead of a T, and its letters don’t come in pairs.

Sometimes one of the letters gets changed and we end up with a typo in our instructions. This typo is called a mutation.

These mutations aren't necessarily bad. My blue eyes are probably caused by a mutation that happened in human evolutionary history, as is my ability to drink milk as an adult. But some mutations are definitely harmful.

Some can kill you outright. Others lead to cancer or other diseases. And the more mutations you have, the more likely one of them will be a bad one.

So our bodies have all sorts of “spell checker software” to make sure our instructions stay as free from typos as possible. This “software” is actually made up of proteins that are constantly analyzing our DNA for mistakes. When they find a mistake, they remove the offending letter and put in the right one.

DNA vs RNA
RNA and DNA both use the bases Cytosine, Guanine, and Adenine, but RNA uses Uracil while DNA uses Thymine. (Image: Wikimedia Commons)

Why DNA doesn’t use Uracil

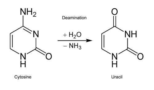
So what does this have to do with your question? Well, a very common way to get a typo happens when C's spontaneously turn into U's because of something called deamination.

Imagine that our DNA had U's instead of T's. And the C's start turning into U's in our 6 billion letters of instructions. How could the body tell that the U shouldn't be there?

The way the body knows what letter should be where is by looking at what is across the helix from it. For example, if there is a G across the helix, our editing proteins know a C should be across from it. But what if it sees a U instead?

If our DNA contained U's instead of T's, the software wouldn’t know if the G or the U is the correct letter. Some of the time it would replace the U and sometimes the G. This would cause lots of mutations, and problems, pretty quickly.

To get around this, our bodies have a protein (called Uracil-DNA glycosylase) that removes the U's so that they can be replaced with C's. This solves the problem of C's spontaneously turning into U's. Because U's are foreign to DNA, our cells know to replace them with C's.

Deamination of cytosine
C’s (or cytosine) can sometimes unexpectedly become U’s (or uracil) because of a process called deamination. (Image: Wikimedia Commons)

Why RNA uses Uracil

So now we know why DNA has T's instead of U's. But why does RNA have U's? This is a simple cost issue.

It takes a lot of energy to turn a U into a T. Given that we'd die if we used U in our DNA, it is worth the cost for DNA.

But RNA is a different story. Instead of just the two copies we have with DNA, there are thousands of copies of RNA. If one goes bad, this is much less of a big deal.

Also, RNA doesn't stay around very long. Our bodies are constantly making and breaking apart RNAs. So if an RNA has a mistake, it'll soon be eliminated anyway.

Which is totally different from DNA. Your DNA is the final repository of all of the knowledge about how to make you. Change it, and you change a part of you. And your future kids.

But if one RNA of many thousands has a mistake, this is tolerable. Making T's in RNA just isn't cost effective for the cell.

There you have it. DNA has T's because we can't suffer the high mutation rate that would come with it. But, given the cost of turning a U into a T, mutations are much more tolerable in RNA.

Author: Dr. D. Barry Starr

Barry served as The Tech Geneticist from 2002-2018. He founded Ask-a-Geneticist, answered thousands of questions submitted by people from all around the world, and oversaw and edited all articles published during his tenure. AAG is part of the Stanford at The Tech program, which brings Stanford scientists to The Tech to answer questions for this site, as well as to run science activities with visitors at The Tech Interactive in downtown San Jose.

Ask a Geneticist Home