What are the odds I have a BRCA mutation if my grandfather’s brother had it?
June 3, 2015
- Related Topics:
- Cancer,
- Autosomal dominant inheritance
A graduate student from California asks:
"My grandfather’s brother has a genetic mutation, BRCA, and my grandfather’s brother’s daughter has it, too. My father’s sister does not have it. What are the odds I have this mutation?"
Great question! This is a bit complex to answer, but based on the information you have given, there is a 1 in 8 or 12.5% chance that you carry the same BRCA mutation.
But really, you have either a 50% chance of getting it from your father or a 0% chance. The 1 in 8 chance essentially comes from the odds your dad carries the gene plus the odds he will pass it down to you if he has it.
Let me explain further. I will start with a discussion of BRCA.
BRCA Are Genes That Help to Prevent Cancer
DNA is like an instruction manual for making and running our bodies. It tells us what to look like and how our body will function.
For example, our DNA tells us what color hair to have, how tall to be, to have a heart that beats and to have just one head. These instructions are contained in stretches of DNA called genes.
Each gene has the specific instructions for one small part of us. There is a gene that decides whether we have red hair, can digest milk as an adult and so on.
We have two copies of most every gene in our body. We inherit one copy from our mom and one from our dad.
The BRCA gene got its name from cancers it typically prevents: breast cancer. BR – for breast and CA – for cancer.
One of its main jobs is to keep mistakes out of our DNA. When too many of the wrong mistakes build up, a cell becomes cancerous. Working BRCA genes can make this less likely.
Typically, we get two working copies of the BRCA gene from our parents. These genes are working and preventing cancer.
Sometimes though, we can inherit a copy from either mom or dad that has a change (or mutation) in it that causes it to stop working. Now mistakes build up faster in our DNA increasing our chances for developing cancer.
BRCA Gene Changes are Inherited in an Autosomal Dominant Way
BRCA gene changes are inherited in a way we call “autosomal dominant.” “Autosomal” just means that both boys and girls have an equal chance of inheriting a change from their parents.
This means that your chances of getting the nonworking BRCA gene don’t depend on which parent has it. Both have an equal chance of passing it on. Similarly, it doesn’t matter if you are a boy or a girl; you have an equal chance of inheriting this change.
The word “dominant” just means that a person needs to only have one gene change in order to have the increased chance for developing cancer. Only one of your copies needs to be not working to increase your risk for cancer.
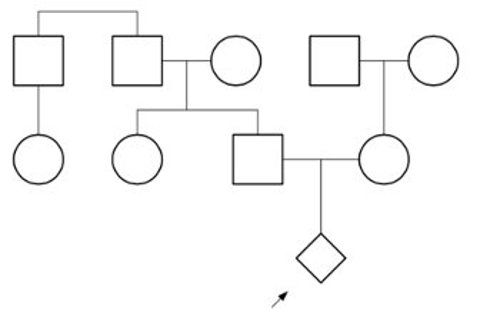
Family Trees Help to Determine Inheritance Risk
When we try to determine inheritance risks in families, we often draw a picture we call a pedigree. This is a picture of a pedigree:

In a pedigree, squares are for boys and circles are for girls. A diamond means we do not know if you are a boy or a girl.
The arrow represents the person we are evaluating. And each row represents generations.
The top generation represents your grandparents and the middle row is for your parents, aunts, and uncles. The bottom row is for you, your siblings and your cousins.
As you can see, we just have you in that bottom row. You, the diamond, are connected to your parents. Each parent is then connected to their parents, your grandparents. You can also see your brother's sister and their father's brother too.
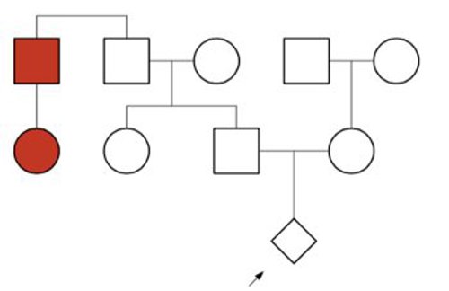
Based on your question, it sounds like some people in your family have BRCA gene changes. Those people are your grandfather’s brother and his daughter. This is seen below where I have colored the two of them in red:

To better talk about your risk for having this same BRCA change, we need to do some math. Because we know your grandfather’s brother has a gene change, we also know that he probably got it from either of his parents. Remember, we get one copy of each gene from mom and one copy from dad.
Every time someone has a child, they have a 50% of passing on either copy of their genes. So, your grandfather’s brother had a 50% chance of passing on his BRCA change or his working gene copy.
Here, we see he passed on his changed copy (both are colored red). Because he has a change, we also know that his brother (your grandfather) has a 50% of having this same change like this:

This also means that both of your grandparents’ children (your aunt and father) have a 50% of inheriting the change if he had it. Because this is 50% of a 50% chance, it is a 25% for each of his kids:

Note though that if your grandfather did not inherit the gene, then your dad’s and aunt’s chances are actually zero. If your grandpa does not have the gene, he can’t pass it on!
Back to your pedigree. Since we know your father’s sister doesn’t have it, the picture really looks like this:

But remember, this change can be passed down to either boys or girls, so just because your father’s sister doesn’t have it, doesn’t mean your father couldn’t. He gets half his genes from your grandfather which translates to a 25% chance of getting the BRCA copy with this change.
And just because his sister didn’t get it that does not mean he would for sure. Each child has a 50% chance of getting the gene. This is different from 50% of his kids getting the gene.
Because you get half of your genes from your dad, you have half the chance he has of having the gene change. So, you have ½ x 25% or 12.5%. It looks like this:

So overall, you have a 12.5% chance of having the same BRCA gene change as your grandfather’s brother. But again, if your grandfather or father were found to not have this gene change, there would be a 0% chance of you having the gene change. You cannot inherit something from your parents that they don’t have. So if they do not have the gene change, you wouldn’t either.
To better understand your risk for having a BRCA gene change, you should visit a genetic counselor. Genetic counselors can talk to you in detail about how genes are inherited and passed down through families.
To find a genetic counselor in your area, you can visit www.nsgc.org.
Author: Rebecca Luiten
When this answer was published in 2015, Rebecca was a student in the Stanford MS Program in Human Genetics and Genetic Counseling. She wrote this answer while participating in the Stanford at The Tech program.
Skip Navigation